Glucosa: El azúcar natural que transporta la energía en la mayor parte de sistemas biológicos. Aparece en dos formas: como una línea recta, y como un anillo. Se puede observar la similitud de la estructura de la glucosa con la del isoctano, el principal componente de la gasolina. Ambos son combustibles, y ambos son importantes para nosotros debido a la energía que transportan.


Clorofila: La molécula central en la fotosíntesis, es la que hace que las hojas tengan su color verde.

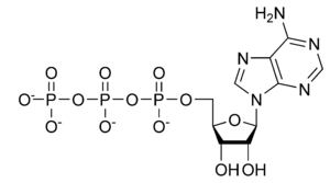
Adenosin trifosfato: El ATP es la molécula universal de la energía en el trabajo de la célula. Puede almacenar energía porque se necesita energía para añadir el último grupo fósforo-oxígeno en la cola de la molécula.

Así si tenemos energía disponible, podemos empujar uno de sus grupos y formar la molécula de ATP. Entonces la molécula viaja a otras partes de la célula donde el grupo puede ser separado, liberando en el proceso la energía almacenada.
Cuando un animal muere, el ATP deja de ser sintetizado por las células. Los músculos, incapaces de usar energía, se ponen rígidos. Esto explica por qué, si alguien muere después de una pelea o después de haber estado tremendamente asustado (procesos que vacían la provisión de ATP), el rigor mortis se establece con mucha más rapidez.





Ya sabía yo que necesitábamos el azúcar para funcionar!!! Perfecta excusa para las que te miran con cara de vinagre cuando se cruzan contigo por la calle mientras te zampas un bollo: “Señora, que estoy llenando el depósito!!!”
Jaja, qué gracia me ha hecho Sara.
La glucosa sabia que era importante, pero la Adenosin trifosfato, lo desconocía.